47th & 7th, NYC
5/29/2011
A few days before I left for New York, my friend Jason said, “You should put the formula for time dilation in Times Square.” Brilliant! I am not sure if we made it to Times Square proper, but there was bright light, noise, and people at the corner of W 47th and 7th.
As I marked the sidewalk, a small crowd gathered. For a moment, my mark-making was a performance. As soon as I stood up and stepped back, the crowd dispersed except for a lone Marine who stood transfixed. I gave him my best 1-minute summary of the effect of motion on time.
Light travels. Special relativity suggests, care of our good friend Albert Einstein, that the speed of light is free from the effects of any motion of the light-maker or the light-seer. This is not how stuff tends to behave. Light, maybe. Objects, not so much. If I throw a baseball, my actions absolutely impact the speed of the ball. With light, it is different, at least according to special relativity theory.
Let’s say you have a rowdy friend riding in the back seat of a car traveling 60 miles per hour. Your friend decides it would be funny to throw a water balloon 30 miles per hour at the passenger in the front seat. The balloon misses the passenger and goes out of the window. The water balloon has transformed from what was simply a bad idea into an instrument of pain. It is traveling 90 miles per hour relative to someone standing roadside.
Light doesn’t obey the same rules required of water balloons. If your friend turns on a flashlight from that same backseat, some of the light hits the passenger at about 186,000 miles per SECOND. (Light moves fast.) Some of the light also goes out the window. That light is still traveling only 186,000 miles per second. It doesn’t get “thrown” out of the car. Light is more independent than that. Light doesn’t just travel; it travels at a constant speed. The speed of light stays the same regardless of what the yahoo holding the flashlight is doing or how fast she is going.
This constant speed of light has big implications for how time elapses for objects in motion. This may sound bizarre. There is a good article in Wikipedia describing this phenomenon and deriving the formula I left in New York. It leaves out a few steps, but with a little patience and a little algebra†, you can sort it out.
Imagine two people looking at a clock. The clock is hung on a wall. One of the people, let’s call him Stan Still, is not moving, relative to the clock. (Of course, Stan and the clock may be in orbit around a planet or star, just like you are.) The other person is moving relative to the clock. We’ll call her Betty Gitmovin. (I am in tears laughing at this one. (We both know I am a bit of a dork.))
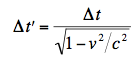
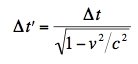
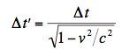
The Δt′ refers to the time that passes for Betty. The Δt, without the prime (the apostrophe), is the elapsed time for Stan. The v is Betty’s speed, or velocity if you want to be more accurate. The c is the speed of light. (Yes, in a vacuum.) Then, our fancy formula,
really says

Do you see it? Do you see what this says about Betty and Stan?
Betty’s time does not equal Stan’s time. The time Betty experiences is different than Stan as long as Betty is moving, that is, as long as Betty’s velocity is not 0. If Betty wasn’t moving, then the stuff involving 1, v, and c equals 1:
But, this is only if Betty is standing still, too. If Betty is moving, then the time elapsing for her IS NOT THE SAME as the time elapsing for Stan. Betty’s elapsed time is greater than Stan’s. For example, let’s say Stan might stand there for 4 minutes and in that time Betty might be moving for 5 minutes, in her frame of reference, if she is moving fast enough.
Why? Think about what happens when we divide. As the denominator gets smaller, the result gets bigger. Ten divided by one is ten, but ten divided by one-half is twenty. (How many halves are in ten wholes?) Ten divided by one-quarter is forty. As the divisor (the number on the bottom, the denominator) shrinks, the quotient (the result of division) grows.
Our divisor, the stuff involving 1, v, and c, is always less than 1, and Betty’s elapsed time is greater than Stan’s. You might ask, “Why is the stuff less than one?” Good question. The “v2/c2” is being subtracted from 1, and the result of the subtraction is getting square rooted. That didn’t help, did it?
Let’s consider a couple examples. Subtract one-half from one and you will get one-half. The square root of one-half is about 0.707. Subtract one-tenth from one and you will get nine-tenths. The square root of 0.9 is about 0.949. When numbers between 0 and 1 get square rooted, the result is bigger, but the result will never be bigger than 1.
As long as Betty is moving faster than 0 and less than c, the formula tells us her elapsed time is greater than Stan’s. For extra credit: What happens if Betty’s velocity exceeds c?
† A little patience and a little algebra
To sort out the derivation of the formula I put on the sidewalk in Times Square, you need to be clear on the fundamental relationship between distance, time, and speed. The distance an object travels is the product of the object’s velocity and the elapsed time. That is, as you may recall from high school math classes, d = r t. If you drive 30 miles per hour for 5 hours, you will travel 150 miles. Simple as that.
Let’s rearrange things a bit, so that t = d / r. If you drove 60 miles per hour for 120 miles, then you drove for 2 hours. Still, easy peasy.
Since the speed of light is about 186,000 miles per second and typing “186,000 miles per second” takes pressing 24 buttons, let’s just use c to represent the speed of light. (For me, that is 5 button presses, one for the “c” and four to turn the italics on and off. Using c saves my little fingers 19 button presses each time. Plus, 186,000 miles/hour is only an approximation.)
The t in the last formula refers to the elapsed time, or the change in time. Math folk and scientists use the Greek letter delta, Δ, to refer to change. If you want to reference the change in time, you can simply write Δt. I know using delta made it less simple, but in calculus there are some great reasons to use Δt instead of simply t.

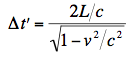
Let’s talk distance. The Wikipedia article starts with two objects not in motion where the distance between them is L. Light traveling from one object to the other and back goes twice that distance, 2L.
Replacing c with r, t with Δt, and d with 2L, we get
the first formula in the linked section of the Wikipedia article.
The next formula starts with Δt′. The apostrophe is read as “prime”, so this is “delta t prime”. The prime tells us this is a different Δt. The time it takes the light to travel back and forth in this moving scenario will not be the same as when it traveled back and forth between non-moving objects. The formula arises from the same ideas used for Δt, i.e. t = d/r gives us

From the image, it is clear D is not the same length as L. The light has to travel farther in this scenario, and therefore takes longer. That is, we expect Δt′ > Δt, if the observer is moving.
Also notice, the right triangle formed by D, L, and half of the distance traveled by the observer. The observer traveling with velocity, v, travels v Δt′, using d = r t. Half of that is, of course, 1/2 v Δt′.
The intention is to find a formula for Δt′. Using the lengths of the sides of the right triangle and the Pythagorean theorem, we have
by using D in the equation for Δt′.
From here, the formula for is within reach. If you want to see it worked out, keep reading.
We are almost there. Stay strong.
Next, take the square root of both sides to get
The 2L/c in the numerator may look familiar. It is good old Δt, in which case
just like I scratched out on that street corner in Times Square.
Laurie took most of the photos for this post. Check out her site: www.lzmstudio.com.



2 thoughts on “Time(s Square) Dilation”