Skip to content
Footpath Math: Chalk it up to a math geek
Previous Image
Next Image
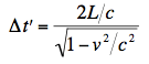
Delta t prime, too
Leave a comment
Cancel reply
Δ
Post navigation
Published in
Time(s Square) Dilation
Comment
Subscribe
Subscribed
Footpath Math: Chalk it up to a math geek
Sign me up
Already have a WordPress.com account?
Log in now.
Footpath Math: Chalk it up to a math geek
Subscribe
Subscribed
Sign up
Log in
Copy shortlink
Report this content
View post in Reader
Manage subscriptions
Collapse this bar